Electromagnetic flow meters are intended for fluid measurement in most industries including water, wastewater, food and beverage, pharmaceutical and chemical.
There are two basic components of electromagnetic flow meter: 1) The transducer, which includes the flow tube, isolating liner and measuring electrodes, and 2) The Converter, which is the electronic device responsible for signal processing, flow calculation, display and output signals.
The materials of construction of the wetted parts (liner and electrodes) should be appropriate for the specifications on the intended type of service. Review of the compatibilities consistent with the specifications is recommended.

Integrated type

Seperated Type

Battery powered Type

Sanitary Type
APPLICATION
-Waster water industry: transport networks sewage treatment plants, sludges
-Chemical industry: acids alkalis, dosing applications, abrasive or corrosive mediums
-Metal & mining industry: mediums with a high solid content, like ore or excavator mud
-Water industry: Revenue metering, district metering waterabstraction, leakage detection
-Pulp & paper industry: pulp, pastes, sludges & other caustic mediums, liquor, additives, bleaches, colourants
-Food & beverage industry: mixing, dosing and filling of drinks under hygienic conditions filling systems applications

TECHNICAL DATA SHEET
|
Diameter |
DN6-DN3000 |
|
Flow Direction |
Positive; Negative |
|
Repeatability Error |
±0.1% |
|
Accuracy |
±0.5% of rate; ±0.2% of rate |
|
Installation |
Flange;wafer;Tri-Clamp;Thread or Union |
|
Medium Temperature |
Rubber liner:-20 ...+60℃ High-temp rubber liner:-20…+90℃ PTFE liner: -20…+120℃ High-temp PTFE liner: -2O...+ 160℃ Polyurethane liner: -2O...+ 80℃ PFA: -20 …+180℃ |
|
Nominal Working Pressure |
DN6-DN25≤M40.0Mpa DN32-DN150≤10.0Mpa DN200-DN600≤2.0Mpa DN700-DN3000≤1.6Mpa |
|
Medium conductivity |
>5us/cm |
|
Velocity |
0.3-15m/s |
|
Turndown Ratio: |
100:1 |
|
Output |
4-20mA/Frequency |
|
Communication interface |
RS485; RS232 |
|
Communication Potocol |
Modbus; Hart; Profibus;GPRS |
|
Power Supply |
110~220VAC; 24VDC; Battery |
|
Construction |
Integrated; Remote seperated |
|
INGRESS PROTECTION |
IP65; IP68 |
|
Explore proof |
EXiaIICT4 |
|
Ambient Temperature |
-20 …+60 *C |
|
Relative Humidity |
95% |
|
Comsumed Power |
<20W |
Installation Size:
Converter size:

Figure

Transducer Size
*DN15~DN150 transducer with 1.6,2.5Mpa pressure

*DN200~DN600 transducer with 1.0,1.6Mpa pressure

*DN700~DN2000 transducer with 0.6,1.0Mpa pressure

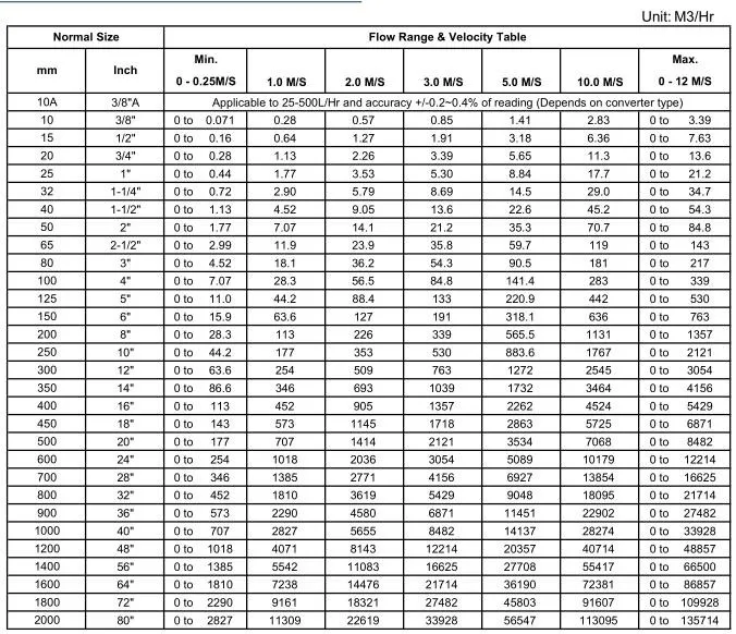
Flow Range

|
Model |
Code |
Description |
||||||||
|
HYEMF |
1 |
2 |
3 |
4 |
5 |
6 |
7 |
8 |
Electromagnetic flow meter |
|
|
Diameter |
XXXX |
|
|
|
|
|
|
|
Standard for diameter 0006:DN6;0015: DN15 0100:DN100;2200:DN2200 |
|
|
Structure |
S |
|
|
|
|
|
|
Integrated type with LCD display |
||
|
L |
|
|
|
|
|
|
Remote type with 10 meter cable |
|||
|
Electrode material |
M |
|
|
|
|
|
Ss316 |
|||
|
T |
|
|
|
|
|
Titanium |
||||
|
D |
|
|
|
|
|
Tantalum |
||||
|
H |
|
|
|
|
|
Hastelloy Alloy C |
||||
|
C |
|
|
|
|
|
Tungsten Carbon |
||||
|
P |
|
|
|
|
|
Plstinum-Iridium |
||||
|
Signal output |
0 |
|
|
|
|
No output |
||||
|
1 |
|
|
|
|
4-20mA/Pulse |
|||||
|
Liner material |
X |
|
|
|
Hard Rubber |
|||||
|
P |
|
|
|
Polyurethane |
||||||
|
F |
|
|
|
PTFE |
||||||
|
A |
|
|
|
PFA |
||||||
|
Power supply |
0 |
|
|
110-240VAC |
||||||
|
1 |
|
|
24VDC(20-36VDC) |
|||||||
|
2 |
|
|
Battery power supply |
|||||||
|
communication |
0 |
|
NO communication |
|||||||
|
1 |
|
Modbus RS485 |
||||||||
|
2 |
|
Hart |
||||||||
|
3 |
|
GPRS |
||||||||
|
connection |
DXX |
D16 DIN PN16 Flange, D25 DIN PN25 Flange..... |
||||||||
|
AXX |
A15 ANSI150#Flange A30 ANSI300#Flange..... |
|||||||||
|
JXX |
J10 JIS 10K Flange J20 JIS 20K Flange...... |
|||||||||
|
SXX |
Sanitary Tri-Clamp Connetion |
|||||||||
|
XXX |
Other request |
|||||||||
|
Body material |
CS |
Carbon steel |
||||||||
|
S4 |
Stainless steel 304 |
|||||||||
|
S6 |
Stainless Steel 316 |
|||||||||
Hot Tags: water flow meter, China water flow meter manufacturers, suppliers, LUGB Vortex Flowmeter, Natural Gas Turbine Flowmeter, Juice Flowmeter, Sanitary Turbine Flowmeter, Steam Flowmeter, Smart 3051 Absolute Pressure Transmitter










